Have you ever needed a strobe diagram template for your photography projects? Look no further! Creating a strobe diagram can be a useful tool to plan your lighting setup and achieve the perfect shot.
With a strobe diagram template, you can easily map out the placement of your strobes, modifiers, and other lighting equipment. This visual guide can help you visualize your lighting setup before you even step foot on set, saving you time and ensuring a smooth shoot.
Strobe Diagram Template
Strobe Diagram Template: A Must-Have for Photographers
Whether you’re a seasoned pro or just starting out in photography, having a strobe diagram template in your toolkit can make a world of difference. By planning your lighting setup in advance, you can avoid any last-minute surprises and focus on capturing stunning images.
With a strobe diagram template, you can experiment with different lighting angles, ratios, and setups to achieve the desired look for your photos. This pre-visualization tool can help you communicate your vision to your team or clients, ensuring everyone is on the same page.
So next time you’re planning a photoshoot, don’t forget to use a strobe diagram template to streamline your workflow and elevate your photography game. With this handy tool, you can take your lighting setups to the next level and create visually striking images that stand out from the crowd.
In conclusion, a strobe diagram template is a simple yet powerful tool that can help photographers of all levels plan and execute their lighting setups with ease. Whether you’re shooting portraits, products, or landscapes, having a visual guide can make a world of difference in achieving your desired results. So why wait? Start using a strobe diagram template today and take your photography to new heights!
Reporting Guidelines And A Touch Of Critical Appraisal Anales De
Health Related Quality Of Life And Undergraduate Nursing Students
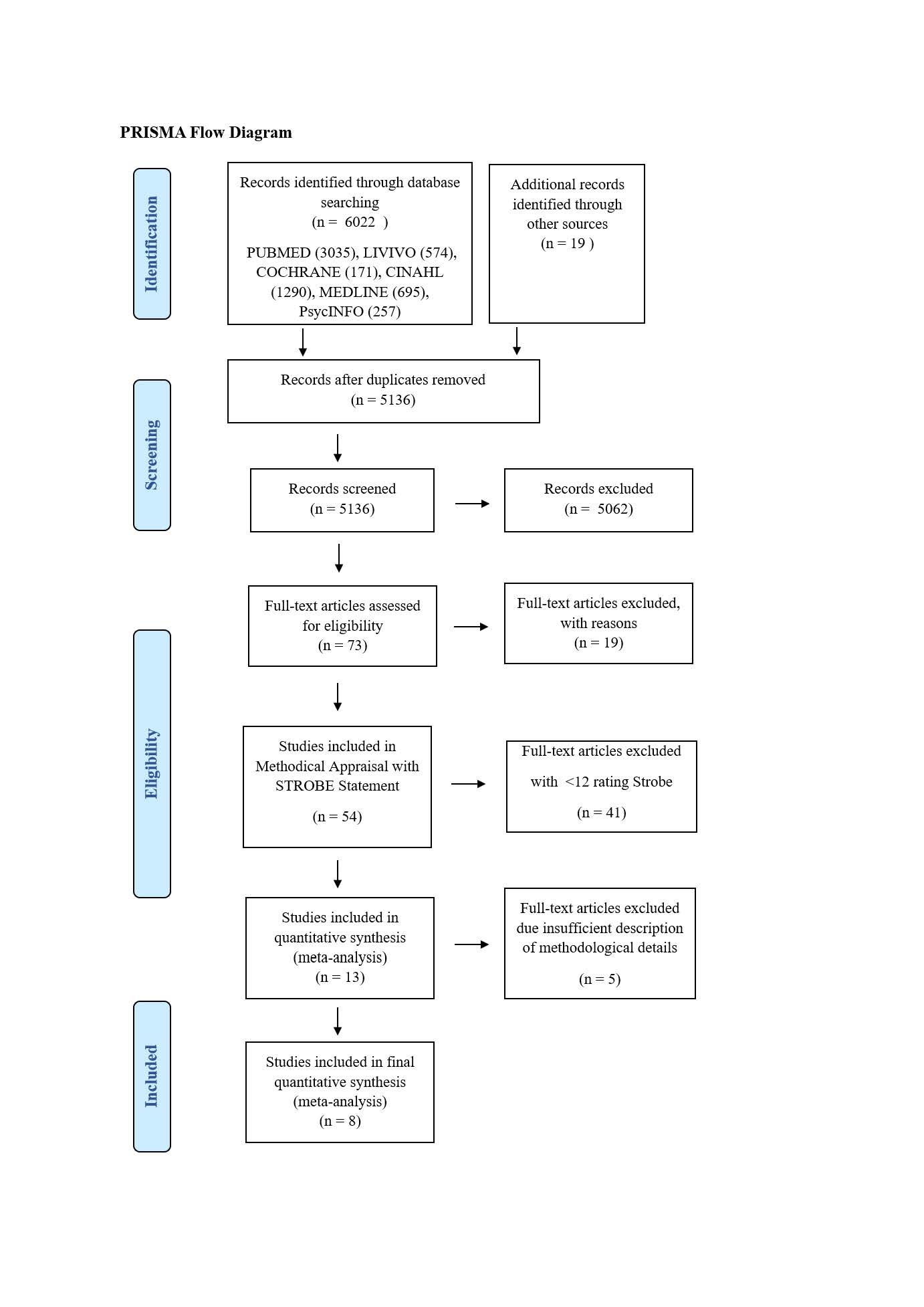
STROBE Flow Diagram Flowchart Of Eligible Participants For The
Danny Wong STROBE CONSORT Diagrams In R




